译自原文
Characteristics of 2DEG generated at the heterointerface of an AlN/GaN structure grown on an AlN substrate using metal organic vapor phase epitaxy
原文作者
Akira Yoshikawa1,2, Takeru Kumabe3, Sho Sugiyama2, Manabu Arai1, Jun Suda1,3, and Hiroshi Amano1,
1Center for Integrated Research of Future Electronics, Institute of Materials and Systems for Sustainability, Nagoya University, Nagoya 464-8601, Japan
2Advanced Devices Technology Center, Corporate Research and Development, Asahi Kasei Corporation, Tokyo 100-0006, Japan
3Graduate School of Engineering, Nagoya University, Nagoya 464-8603, Japan
原文链接
https://doi.org/10.1063/5.0255068, J. Appl. Phys. 137, 195303 (2025)
摘要
本文采用金属有机气相外延法(MOVPE)在氮化铝(AlN)单晶衬底上生长了AlN/GaN赝晶结构,并研究了AlN/GaN界面处二维电子气(2DEG)的霍尔效应特性及基于该结构的HEMT器件性能。霍尔效应测试表明,室温下电子迁移率为294 cm2 V-1 s-1,面载流子密度为1.1×1013 cm-2,方块电阻为1930 Ω/sq。横截面透射电镜显示AlN与GaN界面极为陡峭;原子力显微镜则表明GaN表面呈清晰的台阶-阶梯(step-terrace)结构,而AlN势垒层呈现向岛状生长过渡的特征。此外,HEMT器件表现出明确的晶体管特性,源漏击穿电压达2.3 kV,开关比>107。这些结果表明MOVPE法在AlN单晶衬底上生长AlN/GaN结构的可行性,并展现了AlN单晶作为衬底的内在巨大潜力。
引言
近年来,氮化铝(AlN)因其击穿电压显著优于传统衬底材料碳化硅(SiC)和氮化镓(GaN),已成为下一代高频器件衬底的研究热点。为满足高功率、高频器件的需求,学术界已经针对AlGaN/GaN或AlN/GaN异质结构开展了系统性研究,重点关注基于AlN/SiC、AlN/蓝宝石等模板衬底或单晶AlN衬底的器件设计。高铝组分AlGaN/AlGaN结构更易与AlN晶格匹配,但其异质界面二维电子气(2DEG)会因合金散射导致电子迁移率受限。因此,AlN/GaN或AlGaN/GaN等结构通常生长在AlN衬底上以优化性能。当采用AlN衬底生长AlN/GaN或AlGaN/GaN结构时,AlN作为势垒层可提升2DEG载流子浓度及衬底晶格匹配度,同时避免高铝组分AlGaN在GaN衬底上易产生裂纹的问题。由于AlN与GaN的晶格失配约2%,传统工艺需通过增加GaN沟道层厚度实现应力弛豫和表面平坦化。最新突破来自Jena/Xing团队,他们利用分子束外延(MBE)技术在AlN单晶衬底上制备出赝晶AlN/GaN结构,并验证了其在高电子迁移率晶体管(HEMT)中的优异电学特性。相较于弛豫态AlGaN/GaN的电子特性,AlN/GaN的迁移率仍较低,但其赝晶结构在AlN单晶衬底上可保持异质界面位错密度稳定,展现出优异的击穿电压潜力。Jena/Xing团队采用MBE技术进行薄膜生长,而以MOVPE技术生长的薄膜更具量产优势。本课题组此前报道了基于MOVPE方法在AlN衬底上生长20 nm厚赝晶GaN薄膜的工艺。
本研究进一步使用MOVPE在AlN单晶衬底上生长的GaN中引入了AlN势垒,并系统研究了AlN-GaN界面处诱导的二维电子气电学性能。然后将开发的材料用于构建HEMT器件,并研究了它们的特性。霍尔效应测量表明,在室温(RT)下,电子迁移率为294 cm2 V−1 s−1,片载流子密度为1.1×1013 cm−2,片电阻为1930 Ω/sq。此外,所构建的HEMT器件表现出明显的晶体管特性,在Vg=0 V时导通/截止比高于107,跨导(Gm)为0.025 S/mm。源极和漏极之间的击穿电压(VDS)为2.3 kV,该结果充分验证了AlN单晶作为GaN器件衬底的技术可行性和潜力,为实现高性能功率电子器件提供了新材料平台。
实验方法
采用Aixtron闭式耦合喷淋头MOVPE反应腔,在AlN单晶衬底上生长AlN/GaN结构。三甲基铝(TMAl)、三甲基镓(TMGa)和氨气(NH₃)分别作为Al、Ga和N源前驱体。AlN单晶衬底(位错密度<1×105 cm-2)先在1200°C氢气氛围中退火,随后在1150°C、V/III比为45的条件下生长300 nm AlN同质外延层。接着生长了具有9 nm厚AlN势垒层和13 nm厚GaN层的AlN/GaN结构。所有层的NH3流量均固定为3650 sccm,GaN和AlN势垒层的V/III比分别为1850和3670。AlN势垒层和GaN层的生长速率分别为0.5 μm/h和1 μm/h。详细的薄膜生长条件请参考文献18。在此,生长温度设定为850℃,低于典型的GaN生长温度,生长速率相对较快,为1 μm/h,尽管薄膜厚度较薄。获得的AlN/GaN结构被划分为8 mm的样品,并在样品的四个角上通过电子束(EB)蒸发沉积了V/Al/Ni/Au电极。电极在快速热退火(RTA)系统中于750℃下进行了2分钟的合金化处理。使用霍尔效应测量系统(ResiTEST:TOYO公司)在45-400K的温度范围内测量了退火样品的温度依赖特性。使用从同一晶片切割的15 mm样品构建了HEMT器件(图1)。源极和漏极电极(电极间距=28 μm)采用V/Al/Ni/Au电极形成,并与使用霍尔效应测量系统测试的样品经过相同的处理。采用EB蒸发沉积了Ni/Au肖特基栅电极(宽度=5 μm),且未进行任何后续热处理。在本研究中,未对器件表面进行钝化处理。使用半导体参数分析仪(B1505A和B1500A:Keysight)进行电流-电压测量,以确定转移特性、输出特性、Gm和击穿电压。脉冲测量的脉冲宽度为10 μs,占空比为1%。
![]()
图1. 晶圆结构示意图及制备的HEMT器件结构。(a) AlN/GaN结构由9 nm厚的AlN势垒层和13 nm厚的GaN沟道层组成;(b) HEMT器件结构包含5 μm肖特基金属栅极及间距28 μm的源漏电极。
结果与讨论
图2(a)展示了在AlN单晶衬底上生长的AlN/GaN结构的表面形貌,该形貌通过原子力显微镜(AFM)获得。生长于AlN单晶衬底上的GaN层表面展现出与衬底相同的台阶-阶梯结构,而AlN势垒层则呈现向岛状生长过渡的特征。AFM估算的台阶高度表明这些台阶为单原子层台阶。为避免生长中断,GaN与AlN在相同的NH₃气体流量、生长温度及反应室压力下生长,仅通过改变TMAl与TMGa的供应量实现。本研究采用的生长条件优先保障GaN的赝晶生长,这可能对AlN生长并非最优,尤其因Al原子向台阶边缘的迁移长度较GaN更短。因此,AlN中Al原子的迁移长度可能不足,导致生长远离台阶边缘的概率较高。此外,所用衬底的错切角<0.1°,导致台阶宽度相对较宽,这会阻碍Al原子迁移至台阶边缘。图2(b)展示了15 nm厚Al₀.₂Ga₀.₈N势垒层的AFM图像。该势垒层与在相同生长条件下(通过调节TMGa供应控制Ga组分)生长的传统AlGaN/GaN结构进行了对比。结果显示,AlGaN势垒表面较AlN势垒层更为粗糙且存在多处划痕,这可归因于超过临界膜厚导致的晶格弛豫。

图2:势垒层的AFM图像。(a) AlN势垒层的表面形貌,(b) 含有的Al₀.₂Ga₀.₈N势垒层的表面形貌。
![]()
图3. 对 (a) AlN衬底上的AlN/GaN及 (b) AlN衬底上的Al₀.₂Ga₀.₈N/GaN的 (-1-124) 晶面进行XRD RSM测量结果。
图3.(a)及3.(b)分别显示了(-1-124) 晶面上AlN及AlGaN势垒层X射线衍射倒易空间映射(XRD RSM)测试结果。如前所述,原子力显微镜(AFM)结果显示AlN势垒层表面呈现岛状生长过渡特征;然而,AlN/GaN在AlN单晶衬底上表现为无弛豫的赝晶生长。AlN单晶衬底上的Al₀.₂Ga₀.₈N/GaN生长虽未完全弛豫,但观察到弛豫迹象,如Qxy方向的展宽。AFM与RSM结果表明,与GaN单晶衬底上的Al₀.₂Ga₀.₈N势垒层不同,AlN单晶衬底上的Al₀.₂Ga₀.₈N势垒层因超过临界厚度而发生弛豫。因此,采用AlN单晶衬底和高Al组分时,AlGaN势垒层可增强晶格匹配并提升2DEG载流子浓度。
图4展示了AlN衬底上AlN/GaN结构的横截面透射电子显微镜(TEM)图像。TEM图像显示,AlN势垒层与GaN界面极为陡峭,高分辨TEM放大图像中也观察到原子级平整度。此外,薄膜各区域均未发现新增贯穿位错。然而,如我们先前报道,GaN与AlN单晶衬底间存在非预期成分梯度层,多个研究组也观察到类似现象。该梯度层在成分差异较大的界面尤为显著,但其形成机制尚不明确。本课题组近期研究表明,AlGaN/AlGaN界面梯度层的形成受生长温度驱动。然而,当前结果表明,AlN势垒层与GaN层的生长温度足够低。由于GaN与AlN成分差异显著,和此前研究报道相比成分梯度层更易形成。此外,在GaN衬底上生长AlN与在AlN衬底上生长GaN界面生长行为存在显著差异。这一差异源于底层AlN同质外延层在高温度、低V/III比条件下生长,而AlN势垒层在低温度、高V/III比条件下生长。因此,AlN同质外延层可能含有大量III族空位,GaN生长期间通过这些空位发生原子互扩散。相比之下,低温生长的GaN与AlN层中III族空位较少,导致互扩散位点减少。尽管面临技术挑战,但通过低温生长AlN以确保表面平整度,可能抑制非预期梯度层的形成。
![]()
图4. AlN单晶衬底上生长的AlN/GaN结构横截面透射电子显微镜(TEM)图像。右侧图像为虚线框内区域的高分辨透射电子显微镜(HRTEM)图像。
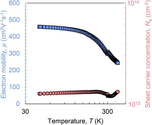
图5展示了AlN单晶衬底上生长的AlN/GaN结构的霍尔效应测量结果。面载流子密度在测量温度范围内几乎保持恒定,表明其特性与极化效应诱导的二维电子气(2DEG)载流子相似。此外,室温(RT)下面载流子密度为1.1×1013 cm-2。电子迁移率随温度降低而升高,在45 K时达到最大值450 cm2 V-1s-1,室温下为294 cm2 V-1 s-1,室温下面电阻为1930 Ω/sq。此外,AlN单晶衬底上生长的具有相对弛豫结构的AlGaN/GaN [图3(b)] 方块电阻极高,导致无法进行霍尔效应测量。对于AlN单晶衬底上赝晶生长的AlN/GaN,Jena/Xing课题组报道了室温下面载流子密度为3.2×1013 cm-2、电子迁移率855 cm2 V-1 s-1、面电阻226.7 Ω/sq的电学性能。相比之下,本文中2DEG的电学性能相对较低。这些结果可归因于GaN层表面态和厚度的差异。AFM结果显示,AlN势垒层表面呈现向岛状生长的过渡特征,导致不同厚度的势垒层形成,反映了潜在势垒的存在。这可能改变载流子浓度分布或阻碍电子运动。Chaudhuri等人报道,GaN薄膜厚度增加可改善电学性能。本文中使用的GaN层较薄(13 nm),可能降低了其电学性能。因此,为提升材料电学性能,需在AlN单晶衬底上生长AlN/GaN时采用更厚的GaN薄膜,同时保持台阶-阶梯表面形貌直至AlN势垒层。

图5. 温度范围45–400 K下的霍尔效应测量结果。蓝色方块表示电子迁移率,红色圆圈表示面载流子密度。
我们对在同一晶圆上制备的HEMT器件(图1)进行了霍尔效应测量。器件输出特性的测量结果如图6所示。源电极接地,栅源电压(VGS)以0.5 V步长从-3 V变化至3 V。在恒定VGS下,漏源电压(VDS)从0 V扫描至30 V,并测量源漏电流(IDS)。观测到明显的夹断行为。然而,在低VDS区域,观察到类肖特基行为的向下弯曲曲线。这可能与2DEG通过AlN势垒层与源漏电极接触有关(图1)。AlN的宽带隙和高电阻表明,在电极界面形成了肖特基结。因此,无法准确估算接触电阻。为解决这一问题,先前报道提出通过刻蚀去除AlN势垒层并重新生长n+ GaN等材料,以改善电极与2DEG的接触。
![]()
图6. HEMT输出特性。VGS在-3至3 V范围内以0.5 V步长变化,同时VDS在0–30 V范围内扫描。
图7展示了制备的HEMT器件的转移特性结果。图7(a)显示了在VDS = 30 V时,VGS从-10 V扫描至0 V的源栅电流(IGS)和对数尺度下的IDS。IDS在VGS = -3.5 V时开始增加,至0 V时超过10-2 A/mm,表明呈现常开特性。IGS在测量范围内得到充分抑制,开关比超过107。图7(b)以线性尺度显示IDS和跨导(Gm)。通过IDS与横轴交点计算的阈值电压(Vth)为-1.5 V。最大跨导(ΔIDS/ΔVGS)在0 V时为0.025 S/mm。
![]()
图7. HEMT器件的转移特性。(a) 对数尺度下显示的IDS和IGS。IDS用蓝色圆圈表示,IGS用红色三角形表示。VDS=30 V时,VGS从-10 V扫描至0 V。(b) 线性尺度下显示的IDS和Gm。IDS用蓝色圆圈表示,Gm用红色三角形表示。VDS=30 V时,VGS从-4 V扫描至4 V。
最后,研究了击穿电压。图8显示了击穿电压测量结果。在VGS = -10 V时,VDS从0 V正向扫描。随着VDS增加,IDS也随之增加。当VDS = 2.3 kV时,IDS达到1 mA/mm并表现出不可逆破坏。然而,当在脉冲模式下重复图6-8的测量时,结果不可重复,表明器件失效。有效击穿电场通过击穿电压除以栅漏间距(20 μm)计算约为1.15 MV/cm。由于本研究中未使用钝化层,预计存在大量表面态。因此,虚拟栅效应可能缓解电场集中,从而提高击穿电压。实际上,当使用直流和脉冲模式进行IDS-VDS测量时,脉冲测量中的IDS较直流测量有所降低(图9)。脉冲测量条件为脉冲宽度10 μs、占空比1%。该测量在相邻于图6-8测试的器件上进行。由此推断,由于未使用钝化层,器件表面存在大量表面态。然而,这一击穿电压仍高于传统GaN材料的常规击穿电压,表明AlN单晶作为衬底材料的潜力。
![]()
图8. HEMT器件的击穿电压测试结果。VDS在VGS = -10 V时从0扫描至2.3 kV。
![]()
图9. HEMT器件的IDS–VDS直流与脉冲模式测量结果。栅电压以0.5 V为步长从-3 V变化至3 V。蓝色实线表示直流测量结果,红色虚线表示脉冲测量结果。脉冲测量采用脉冲宽度10 μs、占空比1%的条件。在脉冲测量的关断状态下,施加的栅源电压(VGS)为-10 V,漏源电压(VDS)为30 V。
结论
本文通过MOVPE在AlN单晶衬底上成功生长了AlN/GaN异质结构,并对其界面处二维电子气(2DEG)的电学特性及HEMT器件性能进行了系统研究。霍尔效应测试表明,室温下电子迁移率为294 cm2 V-1 s-1,面载流子浓度为1.1×1013 cm-2,方块电阻为1930 Ω/sq。HEMT器件展现出明确的晶体管特性,表现为常开型(normally-on),阈值电压为-1.5 V。在测量范围内,栅极电流(IGS)得到有效抑制,开关比超过107,最大跨导(Gm)为0.025 S/mm,硬击穿漏源电压(VDS)达到2.3 kV。未来通过优化AlN/GaN薄膜的表面形貌并降低杂质浓度,器件性能有望进一步提升。
原文源于【AIP Publishing】
(以上文章由奥趋光电翻译,如有涉及版权等问题,请联系我们以便处理)























