译自原文:
Prospectives for AlN electronics and optoelectronics and the important role of alternative synthesis
原文作者:
W. Alan Doolittle; Christopher M. Matthews; Habib Ahmad; Keisuke Motoki; Sangho Lee; Aheli Ghosh; Emily N. Marshall; Amanda L. Tang; Pratyush Manocha; P. Douglas Yoder, Georgia Institute of Technology
原文链接:
https://doi.org/10.1063/5.0156691 Appl. Phys. Lett. 123, 070501 (2023)
项目支持方:
Office of Naval Research (ONR, 美国海军研究办公室)、Multidisciplinary University Research Initiatives (MURI, 多学科大学研究计划)
新兴AlN基半导体电力电子和和光电器件的未来应用得到了低温非平衡外延技术支持的新兴掺杂技术的推动。本文通过低温非平衡外延掺杂技术实现了AlN的空穴浓度约为4.4×1018 cm-3,电阻率为0.045 Ω cm,电子浓度约为6×1018 cm-3,电阻率约为0.02 Ω cm,为未来AlN双极电力电子和光电子器件的发展提供了巨大的潜力。
引言
宽禁带隙半导体如氮化镓(GaN)和碳化硅(SiC)已经彻底改变了照明和光数据存储,提供了巨大的射频和低频功率效率优势,并影响了声学器件。然而,随着对更高电压、光子能量、热散耗和可靠性的需求出现,这些材料并不具备满足未来应用需求的必要属性。例如,数十千伏级别的电网级开关、接近病毒/细菌灭绝最大值的紫外线(UV)发光器(约203 nm),以及能够在没有传统笨重热管理的情况下运行的高温器件,这些都需要新的半导体解决方案。一种带隙远超目前可用材料的半导体是实现这些器件的关键。SiC(带隙能Eg = 3.2 eV)和GaN(Eg = 3.4 eV)已经在电力电子和光电子中确立了其重要地位。为了确保对另一个半导体生态系统的投资,SiC和GaN器件性能的改进需要是革命性的而不是渐进性的。为了证明这一大规模生态系统投资的合理性,必须实现十倍以上性能提升的器件,这将需要探索具有超过SiC/GaN十倍以上材料性能指标(FOM)的半导体。
这一超过10倍的性能指标一直是探索氧化镓(Ga2O3)的动力,后者具有约8 MV/cm的临界电场,并且可以以性价比高的单晶形式生长。然而,Ga2O3的低热导率表明其在电力电子所需的热耗散方面存在限制,而且由于缺乏合适的空穴掺杂剂,Ga2O3也没有支持其发展的光电器件市场。同样,即使金刚石因其高击穿场强、高热导率和高载流子迁移率而常被宣称为最佳半导体,但也缺乏证明大规模生态系统投资合理所需的光电器件市场。光电器件市场成功推动了化合物半导体商业化的早期投资,购买了后来用于开发功率器件的关键基础设施。因此,需要一种具有双极掺杂能力、晶圆尺寸大于2 inch但可扩展到6 inch以上、且具有优异热导率的光学活性超宽带隙半导体(带隙EG > 5 eV),以证明广泛采用所需的生态系统投资是合理的。随着最近实现的进步,氮化铝(AlN)及相关超宽带隙合金非常适合这个角色。
![]()
表I. 具有直径2英寸可扩展到直径大于6英寸衬底的常见半导体材料性能比较。粗体表示每个属性的最高值。部分数据来源于参考文献2。
考虑已经商业化的2英寸或更大晶圆的所有半导体材料,AlN在所有主要材料优值(FOM)中排名前两位(见表I),这包括在临界电场、带隙能量、击穿电压、Baliga FOM(超所有其它材料10倍)和Johnson FOM均排名第一。AlN在热导率方面仅次于SiC,并且具有GaN饱和速度的93%,这在很大程度上决定了器件速度。使用在1016 cm-3电子浓度下的临界场强作为衡量标准,因为绝缘条件下的临界场是没有意义的,任何功能器件都需要一个适度掺杂的漂移层。在这些FOM中,临界电场至关重要。AlN的理论临界电场为15.4 MV/cm,远高于所有其他与功率器件相关的宽带隙半导体。这一高临界场降低了实际用于功率电子应用的外延厚度要求。AlN理论上可以获得惊人的约0.65 μm/kV的外延厚度-电压关系。例如,图1显示了在不同传输点达到美国公用电网所用电压所需的相对厚度。假设完全理论上的临界电场为15.4 MV/cm(半导体很少达到这个上限)和实用的外延厚度限制约为150 μm,AlN是唯一能够满足本地(138-230 kV)公用电网需求的半导体,并且可以轻松满足大中型工厂规模电网的需求。未来智能电网的大部分目标约为4 kV,AlN只需2.5 μm即可满足。
![]()
图 1. 假设电网沿线各点的理论临界电场极限为表 I 所示,器件最小所需厚度与电网电压的关系。
AlN掺杂剂和补偿的理解
主要的n型AlN候选掺杂剂是氧(O)和硅(Si),而对于p型AlN则是镁(Mg)和铍(Be)。迄今为止,Mg和O掺杂的成功率很低。然而,O对于Mg和Be都是重要的补偿杂质,因为这两种掺杂剂以及Al本身都倾向于吸收氧。要理解AlN的掺杂,就需要了解氮空位(VN)和铝空位(VAl)及其相关复合物的角色。当前对于缺陷和杂质化学以及非平衡掺杂方法的理解将被认为是克服当前技术限制的有前途的方法。
AlN的施主掺杂:硅
对于n型AlN,硅是最佳的理论阳离子施主,因为其原子半径与Al非常接近,如图2所示(Al为118 pm,Si为111 pm)。尽管硅在GaN中是一个浅施主,其激活能ED约为17 meV,但在AlGaN中,随着Al含量的增加,其ED从Al0.85Ga0.15N的24 meV增加到Al0.96Ga0.04N的211 meV。硅作为AlN中的替代杂质,导致最近邻基面N键的理论收缩6%。这表明硅晶格位置下降,更接近三个基面键,在此过程中拉伸了Si-N c轴键。当硅捕获一个次级电子并进行几何重排时,会形成DX中心(施主向深能级态的重配置称为“DX”中心),包括3个基面位置的Si-N键收缩2%和c轴Si-N键断裂,如图2所示,导致从浅能级态到深能级态的转变。当这个受力的c轴Si-N键断裂时,会产生一个补偿的深态。尽管存在这种补偿缺陷,但在近表面区域通过离子注入对AlN进行n型掺杂已显示出有希望的结果。然而,在未补偿的MOCVD AlN薄膜的n型掺杂中,最多只显示出1015 cm-3的可重复体电子浓度,仅适用于器件中高漂移场区域。鉴于一种技术显示出掺杂的可行性,而另一种技术则没有,硅本身不可能是问题所在。非平衡、低温MBE有助于AlN的n型掺杂的假设基于以下两点:(a)使用低温时,最小热膨胀,因此最小的额外c轴Si-N键伸长是可取的;(b)金属富集条件最小化Al-空位-Si复合物,这些复合物的行为类似于Al-空位-O复合物,导致在高Si掺杂水平下施主掺杂的自补偿。假设非平衡、低温MBE有助于AlN的n型掺杂是因为如果(a)使用低温,最小热膨胀,因此最小的额外c轴Si-N键伸长是可取的;(b)金属富集条件最小化Al-空位-Si复合物,这些复合物的行为类似于Al-空位-O复合物,导致在高Si掺杂水平下施主掺杂的自补偿。据推测,这种Si自补偿是由于VAl导致的晶格软化,使得更容易断裂c轴Si-N键,从而更容易形成补偿的Si-DX中心。与O类似,出于电荷中性原因,还必须考虑VAl-XSiAl复合物,其中X是一个整数。因此,声称非平衡、低温、金属富集的MBE对于AlN的n型掺杂非常有价值。
![]()
图2. AlN中(a)Mg和Be受主的位置和相对大小(按比例),(b)Si施主和DX重配置的Si杂质,以及(c)替代氧和DX重配置的氧缺陷的位置和相对大小(按比例)
AlN的受主掺杂:镁、铍和碳
对于p型AlN,有三种受主被认为是可行的:阴离子替代的碳(C)和阳离子替代的Be和Mg。当接近稀释极限时,孤立的受主能量导致这些受主都被认为是深能级受体,理论上报道的Mg和Be的单值受主激活能范围分别为510至630 meV和220至340 meV。如果没有能力形成杂质带以降低这些大的激活能,预计不会有显著的孔穴浓度。然而,正如GaN中高掺杂浓度时波尔轨道重叠所显示的那样,Mg的有效激活能从约210 meV降低到约50 meV是可能的,从而导致可以达到1 x 1020 cm-3的孔穴浓度。这也已被证明对于高达约60% Al的AlGaN有效,并且已经演示了隧道二极管。然而,除了约1010 cm-3的孔穴浓度外,Mg尚未成功用于掺杂AlN。最近使用Be得到的约3 x 1018 cm-3(此处报告为约4.4 x 1018 cm-3)室温孔穴浓度和约37 meV的有效激活能的结果表明,可以实现激活能的降低。
![]()
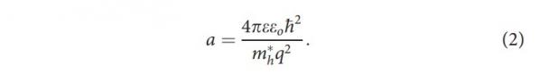
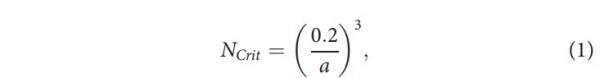
Mott等人给出了一个关于临界掺杂原子密度NCrit的估计,在这个密度下能带开始形成。其中,Bohr半径定义为
![]()
氮化镓(GaN)、氮化铝(AlN)和氮化铟(InN)的相对介电常数分别为8.9、8.5和15.3。报道的重空穴有效质量分别为0.8mo、3.53mo和1.63mo。这意味着GaN、AlN和InN的受主能带形成的莫特临界浓度(Mott critical concentration)分别约为4x1019 cm-3、4x1021 cm-3和6.5x1019 cm-3。这种简化近似对于GaN来说与金属调制外延(MME)实验掺杂结果吻合得很好,其中空穴浓度在1019 cm-3范围内可以常规实现。同样,这些预测表明AlN和InN将更难进行简并p型掺杂,每个都需要更高的掺杂浓度才能形成杂质能带。
对于AlN,最初可能会认为达到形成杂质能带所需的高掺杂浓度是不可能的,这与目前的实验结果相反。然而,需要考虑AlN独特的价带结构,其中分裂离带实际上比重空穴带和轻空穴带更高(见图3),并且具有高各向异性。由于缺乏d轨道电子,因此与GaN相比,晶体场分裂能量的符号相反,分裂离带表现出更大的曲率,并且在能量上位于更宽的重空穴带和轻空穴带之上。图3显示了考虑这一效应的密度泛函理论(DFT)计算。由密度泛函理论(DFT)计算得到的有效质量分别为平行分量3.66mo和垂直分量0.24mo,导致莫特临界浓度分别为4.3x1021 cm-3和1.2x1018 cm-3。给出了莫特临界浓度的上限和下限,以强调当考虑AlN能带结构的独特性时,预测AlN中杂质能带的形成是可能的,并且可能导致比GaN更高的空穴迁移率,为p沟道和双极AlN器件带来希望。尽管仍需要进行大量理论工作来确定有效玻尔半径的准确单一值,从而确定莫特估计的杂质能带开始形成的临界浓度,但无论以何种方式计算有效玻尔半径,由于高各向异性,它都将更接近于假设各向同性哈密顿量且有效质量较低的值。因此,即使在显著低于GaN的载流子浓度下,似乎也有可能获得杂质能带形成的好处,即相对于稀薄杂质情况增加空穴浓度。这里给出的估计并不意味着考虑了此类计算中的所有复杂性,而只是将它们作为支持这一想法可行性的依据。此外,霍尔测量中发现的初步证据支持分裂离带在空穴载流子传输中的主导作用,其中空穴迁移率远高于未考虑这种新颖能带结构时的预期,空穴浓度约为4.4x1018 cm-3,电阻率为0.045 Ω cm时,迁移率高达约30 cm2/V s。这比在类似载流子浓度下GaN的迁移率高出约30倍。尽管如此,仍需要详细的表征,因为接触电阻远大于薄膜电阻,这种情况在范德堡假设中并未考虑。
![]()
图3.(a)未受应力的纤锌矿AlN价带(无自旋)沿布里渊区内M、Γ和A对称点之间线性轨迹的密度泛函电子色散。在区域中心,分裂离带态Γv 1是单重简并的,而重空穴和轻空穴态Γv 6是双重简并的。(b)未受应力的纤锌矿AlN和GaN沿k⊥方向的定性电子色散。与GaN不同,AlN中最高的价带是分裂离带,其表现出较小的有效质量。自旋-轨道相互作用的引入解除了区域中心重空穴和轻空穴带的简并,导致单重简并态Γv;1 7、Γv 9和Γv;2 7的出现。
碳的作用
碳有可能占据阴离子位点,作为受主,但除了一个关于表面累积C导致p型导电的报告外,通常发现碳是两性的。在MOCVD生长AlN时,碳是一个重要的补偿剂,使得施主掺杂变得困难。当试图获得对掺杂有利的较少N富集条件(高Al过饱和度)时,碳污染急剧增加,通常导致由两个非常大的施主(Si或Ge)和碳受主浓度差异造成的电导浓度,范围在1018–1019 cm-3,从而导致净载流子浓度小于1016 cm-3。这种补偿方法在制备中难以实施,因为碳的掺入在不同批次之间是不一致的,因此,需要多少Si来补偿C是未知的。即使低于带隙的紫外光激发也可能有助于在Al过饱和条件下减少碳含量。众所周知,紫外光UV激发可以从表面脱附气体,包括碳氢化合物,并且已被证明可以显著减少碳污染,导致下游残余气体分析检测到的碳氢化合物大幅增加,表明光致脱附不是通过费米能级控制实现的。
在分子束外延(MBE)中,当高温下的蒸发池释放CO2时,碳(通常在低1016 cm-3范围内)与Al通量的联系只是次要的。氧很容易被Al吸收,因此,AlN中的氧浓度往往高于碳,通常高达中等1016 cm-3或更高,特别是当使用Be/Al(也能吸收O)时。快速的生长速率(μm/h)和强大的抽气能力(三个低温泵)降低了在给定真空背景杂质压力下补偿杂质的浓度。MME生长速率高达约10 μm/h,使得适合功率电子应用的实用厚层成为可能。AlN化学气相沉积(CVD)方法受到气相加合物形成的影响,导致颗粒污染和厚膜生长器件的故障。相反,MBE没有加合物并发症,并且具有倒置的几何结构,从而将颗粒污染降至最低,并且潜在地,可以实现无限厚的沉积层,而不受颗粒并发症的影响。
非平衡工艺的重要性
根据目前可用的掺杂理论的普遍理解,得出了一些尚未经过第一性原理理论验证的假设。这些假设是掺杂工作的基础,已经通过实验证据证明了大量的p型和n型AlN体掺杂:对于p型掺杂,应避免补偿施主VNs。同样,对于n型掺杂,应避免VAls,因为它们是施主-VAl复合物,促进了施主(O和Si)向DX中心的重构。这意味着p型掺杂最好在N富集条件下进行,而n型掺杂最好在Al富集条件下进行。使用MME时通常是金属富集情况下。然而,众所周知,在N富集条件下进行MBE生长会导致棱面生长和较差的结构和电气质量。因此,循环MME方法通过提供“时间平均”的N富集度,但间歇性地出现金属富集瞬态条件来控制棱面生长并提供高质量材料,已证明是非常有价值的。通过形成杂质带而不是孤立的深受主能级,已验证GaN的空穴浓度超过5 x 1019 cm-3,激活效率超过50%。这些GaN条件已经复制到了AlN上。为了调整这种微妙的表面化学所需的条件,p型MME目标是一个“条纹状斑点”RHEED图案,其中表面不平滑(RHEED不完全条纹状)且未棱面化(RHEED不是斑点状)。代表性的RHEED图像在参考文献中,与AlN的差异很小。
由于VAl和VN的浓度随温度的升高呈指数增长,因此低温是首选。此外,对于n型掺杂,保持低热膨胀至关重要,以最小化c轴对齐的Si-N(和O-Al键)的应变,避免导致DX中心的重新配置。这意味着低温对于n型AlN生长是谨慎的选择。同样,使用Be作为p型掺杂剂需要保持低温,以防止“铍失控”,这是一个类似于MOCVD中Mg记忆效应的过程,在这个过程中,Be从基底重新蒸发并污染MBE组件,导致Be在未来的生长中成为高浓度的污染物。Be在MBE中常规使用,但在这种情况下,温度很少超过约550℃。在AlN:Be外延中,使用≤750℃的衬底温度以避免这个问题。
在低温下实现高结晶质量AlN
为了获得高质量的晶体外延,需要长的表面扩散长度,而不一定需要高温。高温可以导致长的扩散长度,但在许多情况下,尤其是对于III族氮化物,高温会导致吸附原子的短驻留时间,从而由于脱附限制了扩散长度。对于像CVD这样的技术,粘性边界层可以将脱附的吸附原子循环回表面,大量的气相扩散边界层可以补偿吸附原子表面扩散长度的不足。然而,对于像MBE这样的真空方法,短驻留时间和扩散长度之间的竞争可能导致薄膜质量差、生长速率降低和严重的不均匀性。这种驻留时间与扩散长度之间的权衡关键在于吸附原子的表面结合能与表面扩散的势垒高度之间的差异,如图4所示。当两者相当,如在富氮、高温的III族氮化物外延生长中,就需要进行必要的妥协来实现高温生长
![]()
图4. 在富氮(左)和金属富集(右)表面上,表面跳跃势垒(黑色)与原子结合能(蓝色)的比较。
在金属丰富的表面外延方法中,如MBE、MME和脉冲溅射,表面扩散势垒显著小于原子表面结合能,允许在相对较低的温度下进行足够的扩散。以GaN为例(因为AlN评估所需的一些参数尚不存在),实际上,对于金属丰富的GaN MBE的最低扩散势垒的估计表明,其值在~0.12 eV的数量级(参考文献60),这是由于金属原子层之间的扩散。在这个范围内,势垒高度Φ与热能kT相当,使得跳跃率以及表面扩散率对温度不敏感,并由以下方程式描述:其中a是跳跃距离,ω是表面振动频率(只有中等的温度变化),Φ是跳跃势垒高度,kT是热能。
![]()
在金属丰富的表面外延方法中,如MBE、MME和脉冲溅射,表面扩散势垒显著小于原子表面结合能,允许在相对较低的温度下进行足够的扩散。以GaN为例(因为AlN评估所需的一些参数尚不存在),实际上,对于金属丰富的GaN MBE的最低扩散势垒的估计表明,其值在~0.12 eV的数量级(参考文献60),这是由于金属原子层之间的扩散。在这个范围内,势垒高度Φ与热能kT相当,使得跳跃率以及表面扩散率对温度不敏感,并由以下方程式描述:其中a是跳跃距离,ω是表面振动频率(只有中等的温度变化),Φ是跳跃势垒高度,kT是热能。
如图5所示,比较了具有0.12 eV和0.7 eV势垒的N原子与具有1.4 eV至1.8 eV势垒的Ga原子的跳跃率,结果表明:(a) 金属丰富的势垒比N丰富的势垒具有高约5-6个数量级的跳跃率;(b) 双层金属介导的扩散基本上不受温度影响。假设生长速率为1 μm/h,因此需要大约0.05秒的时间来覆盖一个原子层(生长1/4个GaN晶胞的时间),从ω跳跃率为1013 Hz和跳跃距离为a/2 = 0.159 nm的估计来看,即使在非常低的温度下,双层介导的扩散的扩散长度在大多数温度下仍保持多个μm。对于像MME这样的方法,它在干燥表面和极度金属丰富的表面之间振荡,扩散率是时间变化的,可以被认为是从较低的0.7 eV曲线移动到0.12 eV曲线,但仍然比典型的MOCVD或N丰富的MBE中的N丰富曲线高几个数量级。这个重要的结论重新定义了强键晶体的生长方式,即如果使用金属丰富的表面化学条件,就几乎没有必要使用高温。直接地说,表面动力学支持一个与普遍观点相反的结论:金属丰富的MBE表面的表面原子扩散比N丰富的CVD表面要多得多,但CVD系统利用的是气相扩散,而MBE则无法实现。
III族氮化物表面相图告诉我们,在低温下,如果没有脱附作用,持续供应通量是不切实际的,因为它要么(a)导致富N生长,降低晶体质量,要么(b)导致大量主要是静止的金属滴聚集,这些金属滴可能会掩盖后续的外延生长。因此,需要循环转运金属以避免形成大型静止金属液滴。出于这个原因,开发了MBE反应器中的金属调制外延的循环方法。MME满足了生长和掺杂AlN所需的所有条件:低温避免了与热膨胀相关的Si-N键断裂,降低了VN和VAl浓度,并防止Be失控;富金属表面避免了VAl的形成;循环金属输送允许时间平均的N富集度,以避免VN的形成,同时保持半光滑的表面。如果在外延之前与适当的AlN表面清洁协同进行,那么通过MME生长的AlN层在TEM上与下面的衬底无法区分(见图6)。
![]()
图5. 根据参考文献,各种原子扩散路径势垒的跳跃率和表面扩散长度的代表性计算。
技术成熟度
未来开发MME生长的AlN器件仍存在一些阻碍。首先,高AlN生长速率往往会降低杂质浓度,但要求蒸发源单元超出其操作设计标准运行,这会导致源材料迅速损坏并需要频繁维修。频繁地以这种方式排放系统内的气体并不实用,而且会导致污染,这种污染会随着每次生长而改变,起初会随着系统的“老化”而减少,然后随着蒸发源单元的逐渐失效而恶化。
其次,还需要解决接触问题。电子亲和模型(EAMs)无法解释如何与6.1 eV半导体形成接触,因为不存在功函数与AlN的导带或价带相匹配的金属。对AlN二极管进行温度依赖的正向偏置IV特性分析显示,存在一个与温度无关的电流分量,以及在开启后有一个热激活行为。这表明在低正向电压下有一个隧穿辅助机制,在开启以上有一个热激发电流。在这些I-V区域中,缺陷态很可能扮演了重要角色。需要付出巨大努力来设计接触技术以实现高电流器件。可能的未来解决方案包括离子注入、梯度合金接触和尚未尝试的冶金学。
![]()
图6.(左)双束〈1 -100〉透射电子显微镜(TEM)图像(突出显示边缘型位错和堆垛层错)和(右)双束〈0002〉条件下的图像(突出显示螺旋型位错)。MME AlN薄膜厚度约为500 nm,与氢化物气相外延AlN衬底无法区分。
![]()
图7. 典型AlN二极管的电流-电压与温度数据,该二极管受n型接触电阻主导,激活能约为0.3 eV。高接触电阻是由等离子体刻蚀损伤造成的。
与n型接触的刻蚀相关的损伤阻碍了器件性能,使得已经很大的串联电阻(由于接触电阻)进一步增加。目前所有的二极管都受到串联电阻的主导,其值约为与原生薄膜接触的100倍。图7显示了这样一个特征,当在空气中从室温升至300℃时,串联电阻降低了约70倍,激活能为0.3 eV。然而,即使存在重大的接触挑战,已经可以实现约2.8A/cm²的相当可观的电流密度。
结论
通过控制表面化学条件,可以在不牺牲晶体质量的情况下减少缺陷和杂质的补偿。通过低温生长,可以将掺杂剂补偿的空位浓度降低数个数量级。与普遍理解相反,研究表明低温富金属真空过程的扩散长度高于高温富氮方法,并且可以是抑制硅-DX中心形成的有效手段。第一性原理计算发现,在重空穴带和轻空穴带之上,存在一个低有效质量但高度各向异性的价带分裂带,导致在类似于GaN的掺杂浓度下形成杂质带,但空穴迁移率远高于GaN所能实现的。展示了AlN的空穴浓度约为4.4 x 1018 cm-3和0.045 Ω cm电阻率,以及电子浓度约为6 x 1018 cm-3和约0.02 Ωcm电阻率,这表明未来的AlN双极电力电子器件和光学器件具有巨大的潜力。
原文源于【AIP Publishing】
(以上文章由奥趋光电翻译,如有涉及版权等问题,请联系我们以便处理)























