原文标题
Foundry fabricated AlN-buffer HEMTs——Significant step towards industrial AlN/GaN/AlN transistors.
原文链接
https://www.semiconductor-today.com/features/PDF/semiconductor-today-sep-2025-Foundry.pdf
原文刊登于semiconductorTODAY • 第20卷 • 第7期 • 2025年9月
美国Soctera公司与射频巨头Qorvo公司的研究人员展示了一种在射频代工工厂中制造的高电子迁移率晶体管(HEMT),其氮化镓(GaN)沟道层夹在超宽带隙氮化铝(AlN)顶部和背部势垒/缓冲层之间。此类器件此前已在学术实验室环境中得到验证,但研究人员表示:“这些结果证明了其与当前GaN代工工艺的兼容性,代表了AlN/GaN/AlN基HEMT器件迈向技术成熟的重要一步。”
他们补充道:“这类似于GaNHEMT器件技术在20世纪90年代从学术研究实验室跃迁至21世纪初的市场应用,本项工作代表了AlN缓冲层HEMT器件技术迈出的重要一步,使其更接近于成为未来超宽带隙射频电子平台中一个成熟的、可用于生产的候选技术。”
该团队强调其工作对于旨在用于Ka波段射频(27-40 GHz)的功率放大系统尤为重要,例如应用于卫星通信网络和高分辨率近程目标雷达。Soctera/Qorvo团队还指出了其在5G蜂窝网络和数据中心部署方面的潜力。
AlN/GaN/AlN异质结的另一个可能对这些应用有吸引力的特点是AlN更高的热导率:相比GaN高出30%。在高功率密度放大中,热管理成为关键因素。
研究人员采用金属有机化学气相沉积法,在商业化的100 mm 碳化硅晶圆上生长了金属极性的异质结(图1),这是射频用GaN-on-SiC外延的典型工艺。GaN沟道层厚度小于200 nm。SiC作为衬底具有吸引力,归因于其高热导率、与III族氮化物材料系统更好的外延兼容性,以及可提供直径高达200 mm的大尺寸晶圆。
![]()
图1. (a) AlN/GaN/AlN HEMT的截面结构示意图。(b) 采用传输线法测量的100毫米晶圆上均匀的薄层电阻分布图。
根据传输线法测量,在AlN(AlN)势垒层附近形成的二维电子气(2DEG)中,其平均薄层电阻为434Ω/□,标准偏差小于2%。而采用Lehighton非接触式电阻映射技术测得的结果略高,为442Ω/□,其变化率小于1.5%。霍尔测量报告显示,载流子浓度为1.26×10¹³/cm²,迁移率为124 cm²/V·s。
研究人员制造了一个栅长为150 nm的HEMT器件,其源/漏接触区采用金属有机化学气相沉积法再生长了重度硅掺杂的n++-GaN,旨在将二维电子气沟道的接入电阻降低至0.09 Ω-mm。该器件的栅极宽度由两个40 μm的栅指构成(2x40 μm)。
该器件实现了约10⁶数量级的开关电流比,其峰值跨导为643 mS/mm。研究人员报告称:“在晶圆上测量得到的最大跨导值为736 mS/mm,据作者所知,这属于已报道的栅长约为150 nm的III族氮化物半导体HEMT器件中最高的跨导值之一。”器件的夹断电压为-2 V,最大漏极电流约为1.5 A/mm。
该团队评论道:“高开关比与大跨导值相结合,共同证明了3 nm AlN势垒层通过器件在垂直与水平方向上的尺寸微缩,从而在射频晶体管中实现高效率毫米波(mm-wave)运行的潜力。”
在20V漏极偏压和0V栅压条件下进行长达一小时的应力测试显示,漏极电流从约100mA/mm的水平下降了10%。研究人员评论道:“初步测试表明,该器件仅表现出极小的性能退化,且未发生烧毁,这证明了AlN/GaN/AlN材料的鲁棒性。”
该器件在脉冲条件下的性能与学术实验室的研究报告相似,其电流崩塌程度约为36%,并存在"显著的漏极滞后"现象。研究人员指出,通过优化氮化硅钝化层以减少表面载流子俘获,可能将色散降低至5%左右。
该团队补充道:“可通过将表面远离二维电子气(2DEG)沟道来降低表面态对射频(RF)性能的影响,具体方法包括生长一层薄GaN或AlN钝化层。” 研究人员指出,这些以及其他方法需要深入研究,以权衡、优化其中的各项参数。小信号频率测量报告的截止频率和最高振荡频率分别为45GHz和174GHz。
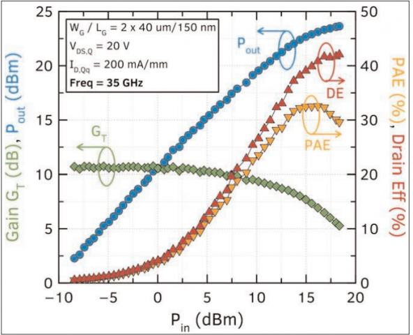
用于评估射频功率性能的大信号负载牵引测量(图2)结果显示,在调谐至峰值效率时,该器件的功率附加效率为32%,相关功率密度为2.68 W/mm,增益为7.3 dB。其漏极效率达到42%。此前学术演示的AlN/GaN/AlN HEMT器件曾在30 GHz频段范围内报告2.5 W/mm的功率密度。
![]()
图2. AlN/GaN/AlN HEMT的大信号负载牵引测量结果
研究人员评论道:“这些结果与先前报道的AlN/GaN/AlN HEMT器件的Ka波段功率输出性能相当。在11 dB的未压缩增益下,该HEMT器件的输出功率受限于由表面态色散引起的增益压缩过早开始。”
原文源于【semiconductorTODAY】官网























