译自原文
Ultrawide Bandgap Lateral AlN Schottky Barrier Diodes With Graded AlGaN Contact Layer on Single-Crystal AlN Substrate
原文链接
https://doi.org/10.1002/pssa.202500568,Physica Status Solidi A: Applications and Materials Science, 2025, 222, e202500568.
原文作者
Junzhe Xie ,Bingcheng Da ,Dawei Wang,Dinusha Herath Mudiyanselage, Ziyi He, Houqiang Fu, School of Electrical, Computer and Energy Engineering, Arizona State University
项目支持方
美国国家科学基金会(NSF),美国能源部科学办公室基础能源科学部,Adroit Materials公司
摘要
在AlN)单晶衬底上制备了具有顶部渐变AlGaN接触层的横向AlN肖特基势垒二极管(AlN基SBD)。其欧姆接触表现出近乎线性的电学特性,接触电阻率低至1.54 × 10⁻³ Ω·cm²。该器件展现出良好的整流特性:开关比高达10⁷–10⁹,理想因子在2.94至1.07之间,肖特基势垒高度在298至573 K的温度范围内为1.24–2.06 eV。研究还对器件肖特基势垒的不均匀分布进行了全面分析。器件的击穿电压超过640 V,平均击穿电场为129 V/μm。
引言
得益于其优越的材料特性,如超大带隙(6.2 eV)、高临界电场(>12 MV cm⁻¹)以及高热稳定性,超宽禁带半导体材料AlN被视为高压、高功率、高温电子器件的理想候选材料。在电力电子应用领域,AlN的巴利加优值远大于SiC和GaN等宽禁带半导体,这表明AlN能提供更为卓越的性能。然而,AlN基电子器件的发展正面临若干挑战。其中,AlN中常用的n型掺杂剂硅具有高达约200 meV的电离能,导致电子浓度较低。此外,自由电子浓度还受到自补偿效应的抑制。在硅掺杂的AlN中,载流子浓度最初随硅掺杂浓度增加而上升,但在高硅掺杂区域,会形成具有类受主行为的VAl + nSiAl复合体作为补偿中心,使得自由电子浓度随硅浓度增加而降低,即硅掺杂AlN中的“拐点”行为。SBD是电力电子器件的关键基础元件之一,也是AlN电子器件材料生长与工艺优化的重要测试载体。为满足高压高功率应用的需求,研究者们已多次尝试制备AlN基SBD,但所报道器件的性能仍远低于AlN材料的理论极限。与在外延衬底(如蓝宝石)上生长相比,使用单晶AlN衬底可显著降低器件中的位错密度。在AlN基SBD发展的早期阶段,Irokawa等人报道了直接在物理气相传输法生长的自支撑AlN衬底上制备的横向AlN基SBD,其在高温下表现出良好的稳定性。Kinoshita等人则展示了击穿电压高达770 V的垂直结构AlN基SBD。然而,这些AlN基SBD通常表现出异常高的理想因子(约8-12),这表明其载流子输运机制无法用传统热电子发射模型来解释。
近期,Mudiyanselage等人在单晶AlN衬底上制备了横向AlN基SBD,其理想因子低至1.65,击穿电压达640 V。尽管器件的欧姆接触仍表现出整流特性,但随着阳极-阴极间距的增加,其击穿电压可扩展至3 kV以上。在AlN上形成良好的欧姆接触仍然具有挑战性,因为大多数金属/AlN界面存在较高的能垒。Maeda等人采用在AlN漂移层下方引入n型AlGaN电流扩展层的方法,以促进准垂直结构AlN基SBD的欧姆接触形成,但其欧姆接触的I-V特性仍呈现非线性。另一种降低接触电阻率的策略是在n型AlN层上形成渐变AlGaN接触层,以避免导带不连续性。Quinones等人报道了在AlN漂移层下方具有渐变AlGaN接触层的准垂直肖特基二极管,其电流密度高且理想因子低。虽然垂直结构AlN基SBD在某些应用中是理想选择,但具有厚漂移层的垂直器件仍然稀缺,限制了其在更高电压下的可扩展性。相比之下,横向AlN基SBD为实现更高的击穿电压提供了另一条途径,且无需更厚的漂移层。然而,大多数已报道的横向AlN基SBD都表现出较差的欧姆接触和非线性I-V特性,导致器件性能受限,并引发了对可靠性和可重复性的担忧。本工作中,我们在单晶AlN衬底上制备了一种具有顶部反向渐变AlGaN接触层的横向AlN基SBD。其欧姆接触表现出近乎线性的特性,器件在298至573 K的温度范围内展现出良好的整流特性:开关比为10⁷–10⁹,肖特基势垒高度为1.24–2.06 eV,理想因子为2.94–1.07。此外,还对肖特基势垒高度的不均匀性进行了系统研究。
实验方法
AlN外延层采用金属有机化学气相沉积法在(0001)面单晶AlN衬底上生长。以三甲基铝和氨气分别作为铝源和氮源,并用氮气稀释的硅烷作为n型掺杂剂硅的前驱体。器件结构包含:1000 nm的本征掺杂AlN层、200 nm的硅掺杂AlN层,以及一个60 nm厚的渐变AlGaN接触层(铝组分从100%渐变至50%)。其中,硅掺杂AlN层和渐变接触层的硅掺杂浓度均为1 × 10¹⁹ cm⁻³。器件的截面示意图如图1a所示。在器件制备方面,首先使用丙酮、异丙醇和盐酸溶液对AlN样品进行超声清洗,以去除表面污染物。器件通过传统的光刻和剥离工艺制备。为形成欧姆接触,采用电子束蒸发沉积Ti/Al/Ti(25/125/50 nm)金属叠层,随后在氮气环境中进行900°C、30秒的快速热退火。用于传输线法测试的矩形电极接触点(pad)同时制备。在形成欧姆接触后,采用基于BCl₃/Cl₂的等离子体对AlGaN渐变接触层进行刻蚀,以露出n型AlN层用于制作肖特基接触。通过电子束蒸发在n型AlN上沉积Ni/Au(25/125 nm)金属叠层作为肖特基接触。肖特基接触的半径为115 μm,阳极与阴极之间的距离为5 μm。为进行台面隔离,将硅掺杂的n型AlN层刻蚀超过200 nm直至本征AlN层。本工作中未使用钝化层,开发适用于AlN器件的高质量钝化层仍是一个持续研究的方向。
结果与讨论
4.1. 正向偏置特性
在不同温度下,使用配备有热台的探针台及Keithly 4200半导体参数分析系统,测量了正向I-V特性和电容-电压(C-V)特性。图1b显示了室温下传输线法测试电极的I-V特性,相邻电极间距与电阻的关系如图1c所示。传输线法I-V曲线呈现出近乎线性的关系,这表明与先前报道的横向AlN基SBD相比,本工作已形成高质量的欧姆接触。提取得到的接触电阻率为1.54 × 10⁻³ Ω·cm²,相较于我们近期报道的未采用AlGaN渐变接触层的横向AlN基SBD,该值显著降低。
图2a展示了横向AlN基SBD的正向电流与导通电阻随正向偏置电压的变化关系。SBD中的载流子输运可由热电子发射模型描述,其I-V特性可表示为:

式中,J为电流密度,Js为反向饱和电流密度,A∗为理查德森常数,k为玻尔兹曼常数,n为理想因子,φb为肖特基势垒高度。计算中采用了0.48m0(m0为自由电子质量)的有效电子质量和57.7 A·cm⁻²·K⁻²的理查德森常数。当理想因子n偏离1时,φb应由有效肖特基势垒高度φeff代替。如图2b所示,室温下该AlN基SBD外推得到的理想因子为2.94,饱和电流密度为0.3 A·cm⁻²。
![]()
图1 | (a) 具有顶部渐变AlGaN层的横向AlN肖特基二极管结构示意图。(b) 室温下渐变AlGaN层上欧姆接触的传输线法I-V特性曲线。(c) 传输线法测试电极电阻随相邻电极间距的变化关系。
图2 | (a) 横向AlN肖特基二极管的电流密度与导通电阻随正向偏置电压的变化关系。(b) 器件电流密度随正向偏置电压的变化关系(半对数坐标)。
图3 | (a) 横向AlN肖特基二极管在298至573 K温度范围内的正向I-V特性曲线。(b) 导通电阻倒数随温度倒数的变化关系。(c) 横向AlN肖特基二极管的理想因子和表观势垒高度随温度的变化关系。(d) 理想因子n与表观势垒高度的关系。(e) 表观势垒高度与1000/T的关系。(f) 1/n−1与1000/T的关系。
图3 a 显示了横向肖特基二极管在298至573 K温度范围内测试的正向I-V特性曲线。随着温度从298 K升高至573 K,该器件表现出高达10⁷–10⁹的开关比。根据图3a,提取了有效势垒高度和理想因子随温度的变化关系。图3b展示了横向AlN基SBD的导通电阻(Rₒₙ)的温度依赖性,其导通电阻随温度升高从109 Ω·cm²下降至0.23 Ω·cm²。通过1/Rₒₙ与1/kT关系图,提取的施主激活能为327 meV,这与先前报道的结果具有可比性。器件导通电流的温度依赖性可归因于较高的施主激活能。图3c展示了从正向I-V特性中提取的理想因子和表观势垒高度的温度依赖性:理想因子(n)从2.94降至1.07,而有效势垒高度从1.24 eV增至2.06 eV。该现象可归因于金属/AlN界面缺陷导致的肖特基接触空间不均匀性,其可能来源于等离子体刻蚀损伤、粗糙的金属/半导体界面、金属晶界及非均匀冶金过程等器件制备工艺。图3d显示了φeff与n之间的线性关联,表明该肖特基接触存在非均匀性。低势垒与高势垒区域在整个接触面内分布:低温下电子仅能穿越较低势垒区域;当温度升高时,更多电子获得足够能量穿越较高势垒区域,导致有效势垒高度增加且理想因子降低。因此,随着温度上升,I-V特性与热电子发射(TE)模型的吻合度逐渐提高。
为进一步探究该现象,肖特基势垒高度可用势能的高斯分布模型来描述,其特征参数为平均势垒高度 φb 和标准偏差 σ。有效肖特基势垒可表达为:

其中,φb0 和 σ₀ 为零偏压下的值,γ 和 ξ 表示电压诱导的肖特基势垒分布形变。基于以上公式,可推导出理想因子的表达式。

公式(6)表明,理想因子具有温度依赖性,其取值可大于1。该推导结果表明,φeff 与n-1-1 均为温度倒数的线性函数,这与图3e、f所示的实验结果高度吻合。观察到的肖特基势垒高度与理想因子的电压依赖性,可归因于金属/半导体界面处存在的界面态。在正向偏置下,这些界面态会逐渐带负电,从而导致有效肖特基势垒高度因偏压而增大,并使理想因子超过1。
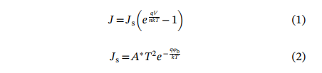
本文亦研究了横向肖特基二极管的C-V特性及其温度依赖性。根据C-V特性,净电荷浓度可由以下公式提取:

其中,εs为介电常数(本工作中采用值为 9.2ε0)。由于较大的串联电阻,C-V特性在10 kHz的低频下进行测量。图4a展示了室温下横向AlN基SBD的C-V特性与 1/C2曲线。从室温下的C-V特性提取的净电荷浓度约为 1.8×1016cm−3,显著低于标称的硅掺杂浓度。这表明存在作为补偿受主的深能级缺陷或杂质,这与之前的报道结果一致。此外,也测量了C-V特性随温度的变化,如图4b所示。随着温度从298 K升高至573 K,载流子浓度从 1.8×1016cm−3增加至 1.3×1018cm−3,这是因为在更高温度下更多的硅掺杂剂被激活。
图4 | (a) 室温下横向AlN肖特基二极管的C-V特性曲线。(b) 在不同温度下测得的横向AlN肖特基二极管C-V特性曲线。
图5 | (a) AlN基SBD的击穿特性曲线。插图为器件在−600 V偏压下的模拟结果。(b) 已报道横向AlN基SBD的电流密度与归一化击穿电压性能对比图。
4.2 反向偏置特性
图5a展示了横向AlN基SBD的反向I-V特性曲线。反向测试在绝缘氟化液FC70中使用Keithly 2470源测量单元进行。器件击穿电压超过640 V,按阳极-阴极间距归一化的平均击穿电场为129 V·μm⁻¹。在器件边缘观察到了灾难性击穿,TCAD模拟表明阳极边缘的电场集中是导致破坏性击穿的主要原因。为进一步提升反向击穿电压,有必要引入边缘终端结构和高k介质钝化层,并对反向载流子输运机制进行更深入研究。图5b展示了已报道横向AlN基SBD的性能对比图,其中归一化击穿电压按BV/Lac(即平均击穿电场)计算,电流密度按阳极面积归一化。与其他已报道的横向AlN基SBD相比,本工作在保持高电流密度的同时,实现了创纪录的高平均击穿电场。为进一步提升横向AlN基SBD的性能,需要采用场板设计并尽可能减少刻蚀引起的损伤。
结论
总之,我们在AlN单晶衬底上成功制备了具有顶部渐变AlGaN接触层的横向AlN肖特基二极管。AlN外延层的同质外延生长提高了晶体质量,欧姆接触表现出近乎线性的特性,从而提升了器件性能。在正向偏置下,当温度从298 K升至573 K时,器件表现出优异的整流特性:开关比从10⁷增至10⁹,理想因子从2.94降至1.07,肖特基势垒高度从1.24 eV升至2.06 eV。通过深入分析肖特基界面的不均匀性,揭示了势垒高度和理想因子温度依赖性的内在机理。在反向偏置下,器件击穿电压超过640 V,对应的平均击穿电场高达129 V/μm。这些结果有助于推动基于超宽禁带AlN材料的高性能功率器件的发展,以面向下一代高压、高功率电子应用。
原文源于【Applications and Materials Science】























