译自原文
First demonstration of an N-polar high Al-content AlGaN channel HEMT grown by plasma-assisted molecular beam epitaxy
原文链接
https://doi.org/10.1063/5.0300343,APL Electronic Devices 1 March 2026; 2 (1): 016128
原文作者
Stefan Kosanovic, 1,a) Md Irfan Khan, 1 Harsh Rana, 1 Oguz Odabasi, 2 Rijo Baby, 2 and Elaheh Ahmadi1
1 Department of Electrical and Computer Engineering, University of California;
2Department of Electrical and Computer Engineering, University of California
项目支持方
美国国防高级研究计划局(DARPA)、美国陆军研究办公室(ARO)、美国海军研究办公室(ONR)
摘要
本文展示了一种在氮化铝单晶衬底上制备的N极性Al0.65Ga0.35N/Al0.85Ga0.15N高电子迁移率晶体管。外延层采用等离子体辅助分子束外延技术生长,并采用了3 nm原位GaN盖层以防止AlGaN沟道表面氧化。为降低接触电阻,在接触区域通过PAMBE选择性再生长了高浓度硅掺杂、组分渐变的AlGaN。测得该器件在室温和300°C下的峰值漏极电流分别为0.12 mA/mm和0.8 mA/mm。跨导也由室温下的53 μS/mm增加至300°C下的262 μS/mm。变温霍尔测量表明,沟道电阻随温度升高而降低,这归因于载流子密度和迁移率的提升。该器件获得了95.8 V的击穿电压以及相应的2.74 MV/cm临界电场。尽管要实现实际应用仍需进一步提升电流密度,但本文首次报道了采用PAMBE技术生长的N极性AlGaN沟道HEMT。
引言
AlGaN沟道高电子迁移率晶体管(HEMTs)展现出可调控的直接带隙(3.4–6.1 eV)、优异的击穿特性(>10 MV/cm)、高电子迁移率以及高饱和速度,这使其成为下一代电力电子和光电系统的理想候选材料。提高沟道中的铝组分可进一步展宽带隙并增强击穿能力,从而转化为更高的电压耐受能力和更优的Johnson品质因数。高铝组分的AlGaN沟道还能实现数倍于传统AlGaN/GaN HEMTs的功率密度,凸显了其在高功率、高频射频应用领域的潜力。
迄今为止,所有已报道的AlGaN沟道高电子迁移率晶体管(HEMTs)均采用金属有机化学气相沉积(MOCVD)技术生长。MOCVD生长氮化物时需要采用斜切衬底,这会在薄膜中引入台阶边缘。相比之下,分子束外延(MBE)则能在零偏角衬底上生长出高质量的薄膜。随着器件尺寸不断微缩、沟道厚度持续减薄,斜切衬底产生的台阶边缘可能会限制沟道中的电子传输,从而降低迁移率,因此对于高度微缩的器件而言,MBE技术更具优势。此外,MBE能够利用商业化的、低缺陷密度的体材料GaN和AlN零偏角衬底。使用这类同质衬底(而非硅、蓝宝石或SiC等异质衬底),可使生长的薄膜具有更低得多的缺陷密度。
目前已报道的高铝组分AlGaN沟道HEMTs绝大多数为金属极性结构,仅有少数研究展示了N极性器件。与GaN材料类似,N极性AlGaN在理论上具有更优异的性能,尤其是在欧姆接触方面:对于N极性结构,其表面即沟道本身,而非势垒层。就AlGaN组分而言,铝含量(Al%)的升高会导致电子亲和能降低,从而形成更大的导带不连续性,这使得制备欧姆接触变得困难。因此,与较低带隙的沟道层(而非较高带隙的势垒层)形成接触,能够更易于实现欧姆接触的制备。
然而,尽管存在上述理论优势,已知AlN和AlGaN易于氧化,这会引发工艺问题。特别是N极性面通常具有更高的反应活性,导致氧化过程更快。本研究展示了一种采用等离子体辅助分子束外延(PAMBE)技术生长的N极性AlGaN HEMT,其通过3 nm的原位GaN覆盖层,并利用MBE再生长接触电极,以防止欧姆接触区域下方的表面氧化。我们对该器件在室温至300°C的温度范围内进行了表征。
实验细节
采用配备射频等离子体氮源的Veeco GenXplore分子束外延系统,在N极性AlN单晶衬底上生长了AlGaN HEMT结构。外延结构自下而上依次为:100 nm AlN缓冲层、50 nm Al₀.₈₅Ga₀.₁₅N势垒层、20 nm Al₀.₆₅Ga₀.₃₅N沟道层以及3 nm GaN覆盖层。生长结构示意图及样品表面的原子力显微镜(AFM)扫描结果如图1所示。为进行高温霍尔测量,在生长过程中共装载了5×5 mm²和10×10 mm²两片样品。其中,10×10 mm²样品用于器件制备,5×5 mm²样品用于霍尔测量。为此,在5×5 mm²样品的四角以范德堡构型沉积了Ti/Au(20/200 nm)电极。
图1. (a) 样品的MBE生长结构示意图,(b) 带有原位GaN覆盖层的外延层AFM图像。
图2. 所制备的AlGaN HEMT结构示意图。
HEMT的制备始于两次独立的刻蚀:对准刻蚀与台面刻蚀。两者均在ULVAC NE-550电感耦合等离子体(ICP)刻蚀设备中进行,采用BCl₃/Cl₂刻蚀气体,流量分别为12/60 sccm,射频正向偏置功率为200 W。随后,沉积并图案化Al₂O₃/SiO₂硬掩模,用于在欧姆接触区域选择性再生长一层重掺杂(浓度约10²⁰ cm⁻³)的组分渐变AlGaN层(在70 nm厚度内从Al₀.₆₅Ga₀.₃₅N渐变至Al₀.₂Ga₀.₈N),以利于形成良好的欧姆接触。此后,采用HF + HNO₃ (1:1)湿法刻蚀去除Al₂O₃/SiO₂硬掩模。接着,使用HCl:HNO₃溶液选择性刻蚀GaN覆盖层,以防止寄生导电沟道的形成,同时保持下方AlGaN沟道层的完整性。最后,通过低压化学气相沉积(LPCVD)淀积了7 nm SiN层作为栅介质。
基于该结构在Ga极性GaN HEMT中已确立的有效性——其中采用低铝组分AlGaN层作为表面终止层——本研究采用了经退火处理的Ti/Al/Ni/Au欧姆接触。首先通过光学光刻定义欧姆接触图形,随后沉积Ti/Al/Ni/Au金属叠层(厚度分别为20/100/10/50 nm)。接着在氮气氛围中,利用快速热退火(RTA)设备在810°C下对样品进行1分钟退火,以形成源极和漏极电极。栅电极图形通过电子束光刻定义,并沉积Ti/Au金属层(20/200 nm)。最后,通过光学光刻定义地-信号-地探针焊盘图形,并沉积Ti/Au金属层(20/400 nm)。所有金属沉积均采用电子束蒸发仪完成。最终器件结构的示意图如图2所示。
样品的电学表征采用Keysight B1500A半导体参数分析仪进行。霍尔测量则在Ecopia HMS-5500 AHT55T5高温系统中完成。
结果与讨论
霍尔测量在MBE外延生长过程中共装载的5×5 mm²样品上进行。图3(a)展示了提取的迁移率与面电荷密度随温度的变化关系,而图3(b)则显示了对应的面电阻(单位:Ω/□)随温度的变化曲线。
图3. 外延结构的(a)迁移率与面电荷密度及(b)面电阻随温度的变化关系。
迁移率与面电荷密度数据中观察到的波动主要源于样品的低电导率。尽管如此,迁移率随温度升高而增加的趋势依然清晰可辨,且面电阻的降低进一步印证了这一趋势。由于该组分AlGaN沟道HEMT的室温迁移率远低于预期值,合金散射与声子散射均无法合理解释该结构的霍尔测量结果。因此,我们将此现象归因于高浓度的补偿中心。该结构未进行掺杂,故这些补偿中心很可能源于点缺陷。尽管在高温下迁移率通常会因声子散射增强而下降,但本研究中观察到其略有上升。这一异常现象很可能源于深能级补偿中心的热电离,该过程增加了自由载流子浓度,并增强了对散射中心的屏蔽作用,从而提升了迁移率。
还需指出,GaN覆盖层对霍尔测量结果无显著影响。此处展示的数据为移除3 nm GaN覆盖层前的测试结果,但移除后的测量显示,迁移率与面电荷密度均未发生明显变化。
图4. (a) 再生长TLM与(b) 沟道TLM结构的示意图。
图5. 沟道TLM在不同间距下的测试结果,插图为通过原点拟合提取接触电阻与薄层电阻的结果。
为评估欧姆接触性能,在10×10 mm²样品上制备了转移长度法测试结构。如图4(a)与(b)所示,我们制备了两种不同间距的TLM图形,分别用于测量n⁺再生长层与沟道层的薄层电阻及其对应的接触电阻。对于n⁺再生长层,测得合理的接触电阻与薄层电阻分别为0.76 Ω·mm与1716 Ω/□。然而,沟道的接触并未形成欧姆特性,如图5所示(展示了各间距下的TLM测试结果)。尽管接触为非欧姆性,我们仍通过原点附近的小范围线性拟合提取了接触电阻与薄层电阻值(见图5插图),以减小拟合误差。由此提取的沟道接触电阻为25.7 kΩ·mm,薄层电阻为2.54 MΩ/□,二者均为极高的数值。
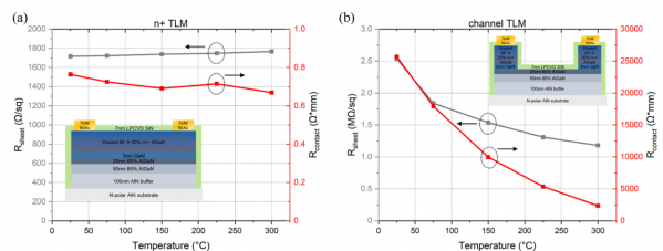
鉴于霍尔测量结果显示器件在更高温度下性能有所提升,我们使用最高样品台温度可达300°C的MPI探针台,在高温下对TLM图形进行了测试。高温TLM测量结果如图6所示。
图6. (a) n⁺再生长层与(b)沟道层TLM结构在高达300°C下的温度依赖性测试结果。
如图6(a)所示,对n⁺再生长层的TLM测量结果表明,其电导率以及相应的金属与n⁺层间的接触电阻随温度升高基本保持不变。另一方面,图6(b)中对沟道层的TLM测量显示,沟道的薄层电阻以及金属与沟道间的接触电阻均随温度升高而下降,这与霍尔测量结果相符。
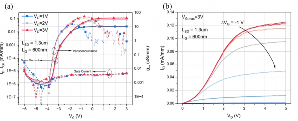
图7. 室温下所制备的AlGaN沟道HEMT的(a) 转移特性曲线与(b) 输出特性曲线。
随后对晶体管进行了直流测试。本文展示的器件具有50 μm栅宽(由两根各25 μm的栅指构成)、1.3 μm源漏间距、600 nm栅长以及对称的栅源间距与栅漏间距。漏极电流随栅压和漏压的变化关系分别如图7(a)和(b)所示。该HEMT显示出约10⁵的开关电流比,在VG = -0.7 V、VD = 3 V时获得53 μS/mm的峰值跨导。在VD = 5 V、VG = 3 V条件下测得0.12 mA/mm的饱和漏极电流密度。尽管器件表现出较低的电流密度和跨导,但考虑到其室温沟道迁移率较低,这一结果在预期之中。低电流密度也可归因于高达25.7 kΩ·mm的沟道接触电阻。随着研制出导电性更强的AlGaN沟道器件并实现良好的欧姆源漏接触,这些性能指标应能获得改善。
随后,我们在室温至300°C的温度范围内对晶体管进行了温度依赖性IV分析。漏极电流随栅极电压(VD固定为3 V)的变化、漏极电流随漏极电压(VG固定为1 V)的变化,以及跨导gm随栅极电压(VD固定为3 V)的变化分别绘制于图8(a)–8(c)中。正如变温霍尔测量中沟道薄层电阻下降所预期的那样,在所有情况下,电流和跨导均随温度升高而增加。与室温相比,电流和跨导提升了约5倍。此外,器件在回到室温后性能得到恢复,且电流未见衰减。
最后,我们进行了三端关态击穿电压测量,以评估器件的击穿电场。测试中,源极电压保持为 VS = 0 V,为确保器件处于关态,栅极电压设定为 VG = -10 V。测得的击穿电压为 VBD = 95.8 V。由于该器件的源漏间距 LSD = 350 nm,计算得出的对应击穿电场为 EBD = 2.74 MV/cm。对于一款未采用任何电场管理技术的HEMT而言,此击穿电场值显著偏高。本器件与其他AlGaN沟道HEMTs的击穿电场性能对比结果如图9所示。
图8. 所制备的AlGaN HEMT在高达300°C下的(a) 转移特性曲线、(b) 输出特性曲线及(c) 跨导曲线,显示其性能随温度升高而提升。
![]()
图9. 与文献中报道的其他AlGaN沟道HEMTs的击穿电场性能对比。
结论
本研究展示了一种采用再生长渐变源漏接触的N极性Al₀.₆₅Ga₀.₃₅N沟道HEMT。我们对器件在室温及高达300°C下的IV性能进行了评估。室温器件显示出0.12 mA/mm的峰值饱和电流和53 μS/mm的峰值跨导。在300°C下测量时,这些指标提升至0.8 mA/mm的漏极电流和262 μS/mm的跨导。器件获得了95.8 V的击穿电压,对应的临界电场为2.74 MV/cm。通过提升材料生长质量,进而提高AlGaN沟道的迁移率并降低其薄层电阻,这些性能指标有望得到进一步改善。
原文源于公众号【AIP Publishing】
(以上文章由奥趋光电翻译,如有涉及版权等问题,请联系我们以便处理)























